روش درونيابي اسپلاين
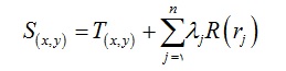
در روش اسپلاين[1] يا (روش شعاع پايه[2])، يک صفحه کشسان به گونهاي در فضا ترسيم ميشود که با تمامي نقاط معلوم اتصال داشته باشد. اين سطح کشسان داراي معادلهاي تقريبا پيچيده بين مقادير ، و ميباشد. حال اگر نقطه مجهولي با مختصات و معلوم، موجود باشد، کافي است مقادير و را در معادله سطح گذاشته و مقدار را تخمين زد. تفاوت اين روش با درونيابي چند جملهاي در اين است که سطح اسپلاين نقاط معلوم را قطع ميکند در حاليکه سطح برازش از بين نقاط عبور داده ميشود. روش اسپلاين در شرايطي مفيد است که تغييرات مقدار مورد نظر در نقاط معلوم با تغيير فاصله چندان زياد نباشد. براي نمونه در آب يک درياچه، غلظت عنصر کادميم ممکن است از 06/0 تا 09/0 ميليگرم بر ليتر در فاصله 1 کيلومتري تغيير کند يعني فقط 03/0 در هر کيلومتر مربع؛ بنابراين روش اسپلاين براي درونيابي مقادير اين عنصر در محدوده درياچه مورد مطالعه ميتواند مناسب باشد. معادله کلي درونيابي اسپلاين به صورت زير است:

که در آن تعداد نقاط معلوم، ضریب راه حل معادلات خطی، فاصله از نقطه معلوم اُم، و با توجه به نوع گزینه، توسط کاربر تعیین میشود. درونيابي اسپلاين به دو روش عمده انجام ميشود که عبارتند از:
الف) روش منظم[3]
در اين روش صفحه اسپلاين به صورت هموار کش و قوس پيدا ميکند و به نقاط معلوم متصل ميشود. بنابراين نتيجه اين روش يک سطح هموار ميباشد که البته دقت درونيابي کمتري دارد (شکلهاي 5-9 و 5-10 را ببينيد).
ب) روش کششي[4]
در اين روش صفحه اسپلاين به صورت ناهموار و تند و تيز کشيده شده و به نقاط معلوم متصل ميشود. بنابراين نتيجه اين روش يک سطح ناهموار ميباشد که البته دقت درونيابي بيشتري دارد (شکلهاي 5-9 و 5-10 را ببينيد).

شکل 5-9: اتصال خط اسپلاين به نقاط معلوم و درونيابي دادهها

شکل 5-10: مقايسه سطوح حاصل از درونيابي با روشهاي مختلف اسپلاين
[1] Spline
[2] Radial Basis
[3] Regular
[4] Tension
برگرفته از : کتاب آمار فضایی (تحلیل داده های مکانی)
نویسندگان: سعید جوی زاده, ساره حدادی, محمد صادق درانی نژاد
انتشارات آکادمیک تهران
تلفن تماس سفارش کتاب: 09382252774
وبسایت آموزشی: www.gisland.org
لینک سفارش کتاب: https://ketabpage.ir/shop/

 
															 
								